DIAETA

La revista científica de la Asociación Argentina de Dietistas y Nutricionistas Dietistas AADYND

Buenos Aires | Vol. 39 - N 177 | Publica en LILACS y SciELO

Trimestre de

ISSN 1852-7337 (en línea)

DNDA: internet/digital: 01915448

AADYND

ARTÍCULO ORIGINAL

Modificaciones Químicas y Sensoriales Producidas en Aceites de Girasol y de Oliva Virgen Extra Según Relevamiento de Procedimientos de Fritura Doméstica en Adultos de la Ciudad de Rosario.

Chemical and Sensory Changes Produced in Sunflower Oil and Extra Virgin Olive Oil Following a Survey on Procedures in Domestic Frying in Adults in Rosario City

Lic. Cabreriso María Soledad, Prof. Chaín Priscila Nanci, Ing. Gatti María Bernardita, Dra. Ciappini María Cristina

Universidad del Centro Educativo Latinoamericano (UCEL). Facultad de Química

Avda. Pellegrini 1332. SBU 2000 Rosario (Santa Fe). Argentina

Correspondencia: María Cristina Ciappini,mcciappini@hotmail.com

Recibido: 05/04/2016. Envío de revisiones al autor: 07/09/2016. Aceptado en su versión corregida: 22/11/2016

RESUMEN

La fritura hogareña es un proceso de cocción muy difundido. El uso de aceites resistentes a la oxidación y la posibilidad de reutilizar aceites mediante condiciones controladas es una costumbre relativamente arraigada entre los consumidores argentinos. Sin embargo, los aceites sufren deterioros al someterse a altas temperaturas. Numerosos trabajos registran antecedentes sobre los cambios que se producen en el aceite en los procesos industriales. El objetivo del presente trabajo fue evaluar cambios químicos y sensoriales del aceite de girasol y del aceite de oliva virgen extra en el proceso de fritura doméstico. Para establecer los procesos empleados para esta cocción, se realizó una encuesta a consumidores que indicó que el 92% de los participantes utilizaba aceite como medio de cocción y que el 50% lo reutilizaba. Los ensayos de fritura se realizaron durante cuatro ciclos sucesivos, utilizando papas tipo bastón. Las papas fritas se constituyeron en las muestras de análisis para evaluar los cambios sensoriales mediante una Prueba de Triángulo (IRAM 20008) y el aceite, para determinar modificaciones químicas. Se determinó Acidez (IRAM 5512), Índice de Peróxidos (IRAM 5551) e Índice de Anisidina (AOCS Cd 18-90). Se analizó el perfil de ácidos grasos y la presencia de ácidos grasos trans (ISO 15304). En ambos aceites, los parámetros químicos se modificaron a partir del primer ciclo de fritura, mientras que se percibieron cambios sensoriales sólo para el aceite de oliva virgen extra en el cuarto ciclo. En función de los resultados obtenidos, se concluyó que resulta necesario revisar las prácticas hogareñas de conservación y reutilización del aceite de fritura.

Palabras clave: fritura doméstica, deterioro químico, deterioro sensorial, aceite de oliva virgen extra, aceite de girasol.

ABSTRACT

Domestic frying is a widespread cooking process. The use of resistant to oxidation oils and reusable ones following controlled conditions is a relatively rooted habit among Argentine people. However, oils suffer damage when subjected to high temperatures. Numerous studies have recorded background about the changes that take place in oil in industrial processes. This study aimed at evaluating the chemical and sensory changes of sunflower oil and extra virgin olive oil in the frying domestic process. To establish the cooking process used, a consumer survey was carried out, which indicated that 92% of participants used oil as a cooking means and 50% reused it. Frying tests were carried out for four successive cycles, using cane potatoes. The french fries were the test samples to evaluate sensory changes, using a triangle test (IRAM 20008). The oil was used to determine chemical modifications. Acidity (IRAM 5512), Peroxide Index (IRAM 5551) and Anisidine values (AOCS Cd 18-90) were determined. The fatty acid profile and the presence of trans fatty acids (ISO 15304) were analyzed too. It was determined that both oils modified their chemical parameters from the first cycle of frying, while sensory changes were perceived only for the extra virgin olive oil, in the fourth cycle. The conclusion was that it is necessary to review the household practice of conservation and reuse of frying oil, since chemical and sensory changes were detected.

Keywords: domestic frying, chemical deterioration, sensory deterioration, extra virgin olive oil, sunflower oil.

PÁGINA 1 | |

Introducción

La fritura es un método de preparación de alimentos que se utiliza tanto en el sector industrial como en el doméstico (1). El alimento se cocina por calor seco e implica la inmersión en aceite o grasa caliente utilizando temperaturas entre 160ºC y 180ºC (2-4). Es un proceso de corto tiempo de cocción, dada la rápida transferencia de calor hacia el interior del alimento, y de absorción de la grasa del medio por el alimento (3).

Cuando la fritura se realiza con aceite, éste sufre al menos tres reacciones de deterioro: hidrólisis, oxidación y alteraciones causadas por las altas temperaturas. Las reacciones de oxidación son las más relacionadas con la salud y la nutrición, ya que a partir de éstas se forman hidroperóxidos y aldehídos que han sido asociados a retraso en el crecimiento, hipertrofia o hiperplasia hepática, hígado graso, úlceras gástricas y lesiones tisulares en corazón y riñón en animales de experimentación (3). También se les reconoce cierta capacidad para acelerar el desarrollo de ateroesclerosis y modificar las unidades básicas del ADN asignándoles de este modo propiedades mutagénicas y teratogénicas (5). Por acción del oxígeno y de la temperatura durante la cocción pueden aparecer sabores, olores y colores extraños. Esto se traducirá en características sensoriales que probablemente los consumidores no estén dispuestos a aceptar (6).

La fritura, tanto industrial como doméstica, puede constituir una fuente de formación de ácidos grasos trans (AGT), cuando los aceites que se utilizan son relativamente poliinsaturados. Nutricionalmente, aceites con mayor contenido de ácido linolénico se consideran buenos para la salud y para la prevención de problemas cardíacos. Sin embargo, estos aceites se oxidan más rápidamente, produciendo aldehídos α y β insaturados de extrema toxicidad (7-8).

En la fritura hogareña el proceso es discontinuo. La posibilidad de reutilizar aceites mediante condiciones controladas y el uso de aceites resistentes a la oxidación puede implicar un beneficio económico y se ha constituido en una costumbre relativamente arraigada (9). Sin embargo, los nutricionistas recomiendan consumir aceites crudos debido al riesgo que ofrecen los alimentos fritos (10).

Existe entonces, una genuina preocupación desde el ámbito de la tecnología de los alimentos y de la nutrición por encontrar una solución a esta problemática y establecer riesgos asociados al consumo de alimentos fritos. En la mayoría de los estudios publicados al respecto, se simularon frituras industriales sometiendo a los aceites a ciclos de calentamiento muy prolongados, todos alejados de las prácticas domésticas habituales (3, 5-7).

La finalidad de este estudio fue determinar la aparición de modificaciones químicas y sensoriales en aceites sometidos a un proceso de fritura doméstico.

Materiales y método

Como paso previo a los ensayos de fritura y con el propósito de conocer las prácticas domésticas más habituales, se efectuó una encuesta a 89 consumidores adultos de la ciudad de Rosario, cuyas edades estaban comprendidas entre 18 y 64 años. Los encuestados fueron seleccionados mediante un muestreo no probabilístico, al azar por conveniencia. El cuestionario incluyó dos partes: en la primera se evaluó la frecuencia de consumo de alimentos fritos y en la segunda se estudiaron los procedimientos aplicados en la fritura. Considerando estos resultados, se modelaron los ensayos. De acuerdo a estos antecedentes, que suponen al tipo de aceite como uno de los factores de formación de productos de la oxidación lipídica (LOPs) (5), se seleccionaron para este estudio: aceite de girasol refinado (AG) [rico en ácido linoleico (18:2, w-6)] y aceite de oliva virgen extra (AO) [rico en ácido oleico (18:1, w-9)]. Los aceites se adquirieron en el comercio minorista y se verificó el cumplimiento de las especificaciones establecidas en los artículos 528 (AG) y 535 (AO) del Código Alimentario Argentino (11). A los aceites frescos se le asignó el ciclo 0.

La fritura se realizó manteniendo una relación aceite/alimento 3:1. El aceite se calentó a 180ºC y se utilizaron papas tipo “bastón” como alimento a freír. El tiempo de cocción promedio fue de 32 minutos para el AG y de 26 minutos para el AO. Estos tiempos se fijaron hasta alcanzar el punto de dorado establecido como el preferido por los consumidores en la encuesta.

PÁGINA 1 | |

PÁGINA 2 | |

El procedimiento de fritura se repitió 4 veces (ciclos 1 a 4). Luego de cada cocción, el aceite se conservó a temperatura ambiente, al abrigo de la luz y en el recipiente de cocción, tapado, durante una semana, reproduciendo las prácticas hogareñas. No se agregó aceite fresco en ningún momento, habiéndose calculado la cantidad suficiente de aceite inicial que permitiera completar los cuatro ciclos.

Para evaluar las modificaciones en los parámetros de calidad de los aceites, se determinó: acidez, índice de peróxidos e índice de anisidina. Se analizó el perfil de ácidos grasos y la presencia de ácidos grasos trans.

La acidez indica la descomposición de los glicéridos del aceite en ácidos grasos libres. Para su determinación, el aceite se disolvió en un disolvente neutro y se valoró la acidez con álcali normalizado, expresándolos como g de ácido oleico en 100 g de aceite (IRAM 5512) (12).

En las primeras etapas de la oxidación de los aceites, se producen diversos peróxidos, por lo que la prueba del índice de peróxido es representativa de las primeras etapas del fenómeno. Se expresa en miliequivalentes de oxígeno activo por kg de aceite y consiste en valorar con solución de tiosulfato de sodio, el yodo liberado por una cantidad determinada de muestra (IRAM 5551) (13).

El índice de anisidina se define por convención como 100 veces la densidad óptica medida a 350 nm en una cubeta de 1 cm de solución, conteniendo 1 g de aceite en 100 ml de una mezcla de solvente y reactivo. Se utiliza como medida de los productos de oxidación secundaria formados durante el procesamiento de los aceites. Determina la cantidad de aldehídos α y β insaturados (principalmente 2-alquenales y 2,4-dienales) en grasas animales y aceites vegetales, por la reacción en presencia de una solución de ácido acético, de aldehídos y p-anisidina, produciendo un color amarillento (AOCS Cd 18-90) (14). La absorbancia se midió en un espectrofotómetro UV-V 1800 Shimadzu (Kyoto, Japón), usando n-hexano como blanco de referencia.

Los ácidos grasos se estudiaron como esteres metílicos, derivados de menor punto de ebullición y polaridad. Los ésteres metílicos de los ácidos grasos de cada muestra, se separaron por transmetilación con una solución al 3% de ácido sulfúrico 1N en metanol, previa saponificación con KOH 1N en metanol. Se analizaron en un cromatógrafo de gas Hewlett Packard HP-5890 II (Palo Alto, California, USA) equipado con detector de ionización de llama (FID HP-3398). Se utilizó una columna capilar HP-INNO-Wax (50m x 0,32 mm x 0,5 nm, con polietilen glicol). La temperatura de la columna fue de 200ºC a 230ºC (20 ºC/min) y la del inyector, de 260ºC. Como gas transportador se usó nitrógeno con una velocidad de flujo de 3,8 mL/min. Una mezcla conteniendo los estándares de los ésteres metílicos de ácidos grasos, provistas por Sigma Chemical Co, se empleó para obtener los tiempos de retención e identificar los picos correspondientes en las muestras en estudio. La concentración de cada ácido graso fue determinada como proporción relativa de la composición total, usando el éster metílico del ácido heptadecanoico (Sigma Chemical Co, St. Louis, Missouri, USA) como estándar interno (ISO 15304) (15). Se analizaron tanto los ácidos grasos naturales cis como el ácido elaídico (18:1, w9 trans).

Las determinaciones se realizaron por triplicado. Se calcularon promedios y desviaciones estándar y se realizó un análisis de la varianza para evaluar diferencias significativas. En todos los casos se utilizó el programa Excel 2007®.

Con el propósito de detectar diferencias en los atributos sensoriales, capaces de ser percibidos por los consumidores, entre las papas cocidas con aceite fresco en comparación con las freídas en el aceite reutilizado en los sucesivos ciclos, se llevó a cabo una Prueba de Triángulo (IRAM 20008) (16). Esta es una prueba de elección forzada, aplicable tanto si la diferencia existe en un solo atributo sensorial o en varios. Consistió en presentar simultáneamente a los panelistas tres muestras de papas fritas codificadas con números aleatorios de tres cifras, de las cuales dos eran iguales y una diferente. El evaluador sensorial debía identificar la muestra diferente. En esta actividad participaron 26 evaluadores seleccionados y entrenados de acuerdo a ISO 8586 (17). Los resultados se evaluaron aplicando estadística binomial, con un nivel de significación del 5% (16). Los ensayos se llevaron a cabo en ambientes establecidos por la Norma IRAM 20003 (18).

PÁGINA 2 | |

PÁGINA 3 | |

El 42% de los encuestados consumía frituras al menos una vez a la semana, siendo papas y milanesas los alimentos más consumidos. El 63% calificó su preferencia por los alimentos fritos con una puntuación superior o igual a 7 (escala del 0 al 10), indicando que los alimentos fritos gustan y se consumen con regularidad.

El 92% de los encuestados utilizaba aceite para freír. El 62% informó que usaba aceite de girasol, siendo éste recomendado por diversos autores como uno de los más adecuados (19-20). El aceite de oliva también se aconseja (20-21), debido al mayor contenido de ácido oleico, que le confiere beneficios en su conservación y estabilidad (22). Sin embargo, sólo un 2% de los encuestados refirió utilizarlo. En cuanto a la técnica de cocción, se observó que el 62% cubría el volumen del alimento a freír utilizando sartén (60%), olla (18%) u otros recipientes como cacerola o freidora (22%). El 94% indicó introducir el alimento al medio de cocción cuando el aceite “está caliente” y el 66% no tapaba el recipiente mientras freía. Si durante el proceso de cocción el aceite disminuía su volumen, el 44% de los entrevistados indicó que adicionaba más cantidad. Los datos reportados por algunas investigaciones recomiendan esta última práctica para mantener el perfil de ácidos grasos, disminuir la formación de compuestos tóxicos y aumentar la vida útil del aceite (3).

Un 50% de los encuestados reutilizaba el aceite: el 52% lo filtraba y el 60% lo conservaba en el mismo recipiente de cocción. Tal como se muestra en la Figura 1, el 72% de los encuestados que reutilizaba el aceite lo hacía más de una vez.

En la Tabla 1 se muestran datos comparativos acerca de los usos más frecuentes relativos a la fritura doméstica, en comparación con las buenas prácticas recomendadas por nutricionistas (2, 19, 23, 24).

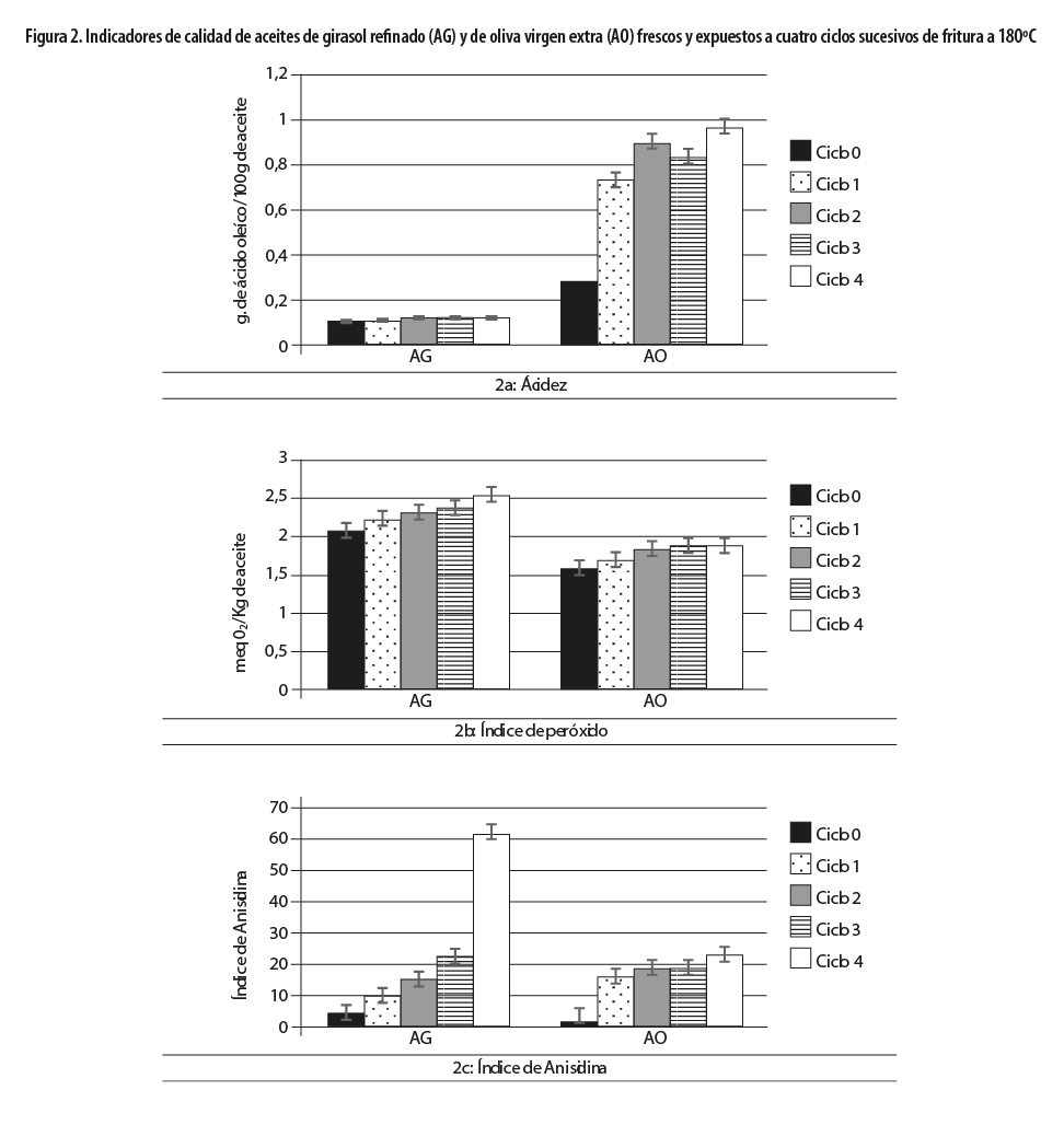
Los aceites frescos (Ciclo 0) cumplieron con los requisitos de calidad según CAA (11). La acidez del AG fresco fue significativamente inferior (p<0,01) a la del AO, como corresponde a las especificaciones de estos productos (11). Este parámetro de calidad se modificó a través de los ciclos de fritura para el AO, con diferencias significativas entre el aceite fresco y los ciclos 1 a 4; en cambio, no se modificó para el AG (Figura 2a).

PÁGINA 3 | |

PÁGINA 4 | |

El 42% de los encuestados consumía frituras al menos una vez a la semana, siendo papas y milanesas los alimentos más consumidos. El 63% calificó su preferencia por los alimentos fritos con una puntuación superior o igual a 7 (escala del 0 al 10), indicando que los alimentos fritos gustan y se consumen con regularidad.

El 92% de los encuestados utilizaba aceite para freír. El 62% informó que usaba aceite de girasol, siendo éste recomendado por diversos autores como uno de los más adecuados (19-20). El aceite de oliva también se aconseja (20-21), debido al mayor contenido de ácido oleico, que le confiere beneficios en su conservación y estabilidad (22). Sin embargo, sólo un 2% de los encuestados refirió utilizarlo. En cuanto a la técnica de cocción, se observó que el 62% cubría el volumen del alimento a freír utilizando sartén (60%), olla (18%) u otros recipientes como cacerola o freidora (22%). El 94% indicó introducir el alimento al medio de cocción cuando el aceite “está caliente” y el 66% no tapaba el recipiente mientras freía. Si durante el proceso de cocción el aceite disminuía su volumen, el 44% de los entrevistados indicó que adicionaba más cantidad. Los datos reportados por algunas investigaciones recomiendan esta última práctica para mantener el perfil de ácidos grasos, disminuir la formación de compuestos tóxicos y aumentar la vida útil del aceite (3).

Un 50% de los encuestados reutilizaba el aceite: el 52% lo filtraba y el 60% lo conservaba en el mismo recipiente de cocción. Tal como se muestra en la Figura 1, el 72% de los encuestados que reutilizaba el aceite lo hacía más de una vez.

En la Tabla 1 se muestran datos comparativos acerca de los usos más frecuentes relativos a la fritura doméstica, en comparación con las buenas prácticas recomendadas por nutricionistas (2, 19, 23, 24).

Los aceites frescos (Ciclo 0) cumplieron con los requisitos de calidad según CAA (11). La acidez del AG fresco fue significativamente inferior (p<0,01) a la del AO, como corresponde a las especificaciones de estos productos (11). Este parámetro de calidad se modificó a través de los ciclos de fritura para el AO, con diferencias significativas entre el aceite fresco y los ciclos 1 a 4; en cambio, no se modificó para el AG (Figura 2a).

PÁGINA 4 | |

PÁGINA 5 | |

El índice de peróxido fue significativamente mayor (p<0,05) para el AG que para el AO en estado fresco. La Figura 2b muestra la evolución de este parámetro para ambos aceites: su aumento conservó la relación encontrada para los aceites frescos, pero mostró un incremento, indicando el deterioro de los aceites como consecuencia de la cocción repetida y la formación de peróxidos, característicos de las primeras etapas de la oxidación. En ningún caso se superó el límite admitido para el índice de peróxido (11).

En la Figura 2c se observa la evolución del índice de anisidina. Para el aceite de girasol, el valor de este índice aumentó en cada ciclo y prácticamente se triplicó en el cuarto ciclo respecto al tercero. Esto indica el inicio de un franco deterioro, con la formación de aldehídos, característicos de las etapas de oxidación secundaria.

Para el AO, el índice de anisidina del aceite fresco mostró diferencias significativas con los valores encontrados para los aceites sometidos a los sucesivos ciclos de fritura (p<0,05). Sin embargo, no hubo diferencias significativas entre el primero y el cuarto ciclo (Figura 2c).

En su gran mayoría, los AGT que se consumen proceden de alimentos que han sufrido un proce-

PÁGINA 5 | |

PÁGINA 6 | |

so industrial de hidrogenación catalítica de grasas. Sin embargo, se atribuye un porcentaje menor a los procesos de desodorización y, menor aún, a las frituras (8). El impacto de la fritura en la formación de ácidos grasos de configuración trans (AGT) es particularmente importante en la alimentación institucional y en la industria de comida rápida (8, 21). En este trabajo no se detectó ácido elaídico en ninguno de los aceites analizados, ni en los ciclos ensayados (Tabla 2).

En el AO se observó un aumento de los ácidos grasos saturados (AGS), evidenciado por el incremento del ácido palmítico. Se observó una reducción en el ácido oleico, predominante en este tipo de aceite, y en el ácido linoleico, entre los ácidos grasos polinsaturados (AGPI) (Tabla 2). Los demás ácidos grasos analizados no presentaron modificaciones significativas.

En el AG (Tabla 2) se detectó un aumento de los AGS totales a expensas del ácido esteárico, desde el primer ciclo de fritura. En cuanto a los ácidos grasos monoinsaturados (AGMI), el ácido linoleico disminuyó proporcionalmente a la ganancia de ácido oleico.

El panel de evaluadores sensoriales no detectó diferencias cuando analizó las papas fritas obtenidas en los tres primeros ciclos de cocción. Solo se percibieron diferencias significativas (p=0,05) al probar las papas freídas en AO en el cuarto ciclo, cuando 14 de los 26 evaluadores encontraron correctamente la muestra diferente (Tabla 3).

PÁGINA 6 | |

PÁGINA 7 | |

Discusión

Puede observarse que algunas de las prácticas que utilizaban los encuestados para la realización de las frituras no coincidió con las recomendaciones, principalmente las referidas al tipo de recipiente, tiempo de fritura y agregado de aceite. En cuanto al recipiente se recomienda que el mismo sea profundo (19) porque los recipientes que exponen el aceite al oxígeno disminuyen el punto de humeo (2). El tiempo de fritura dista de lo recomendado debido a que el dorado que la mayoría de las personas prefiere es superior al leve pardeamiento superficial recomendado y esto conlleva un mayor tiempo de cocción. Ngadi y col. (22) relacionaron el tiempo de fritura con la ganancia de grasa total en nuggets de pollo y concluyeron que, a mayor tiempo de cocción, mayor era la ganancia de grasa en estos alimentos. Esto también podría relacionarse con la temperatura de cocción. Marcano y col. (23), encontró diferencia significativa en la absorción de grasas en papas freídas a 150ºC y a 180°C.

Los cambios observados en los parámetros químicos coincidieron con lo informado por otros autores. Para la acidez, por ejemplo, el comportamiento está de acuerdo con lo informado por Rivera (24) y por Valenzuela (25) para el AG, aunque resulta inferior a los valores máximos encontrados para el AO.

La hidrólisis de los ácidos grasos está relacionada con la presencia de agua, liberada por los alimentos que se cuecen, y con la temperatura del aceite. Considerando que se cocinó la misma cantidad de papas y que las temperatura de los aceites era la misma para los procesos de fritura con el AO y el AG, los diferentes resultados observados para cada aceite podrían atribuirse a la naturaleza de los ácidos grasos involucrados, que son diferentes para AO y AG, o a la presencia de antioxidantes en el AG.

La oxidación se favorece a medida que se incrementa la concentración de ácidos grasos insaturados, ya que este proceso es iniciado por el ataque del oxígeno molecular a los dobles enlaces de estos ácidos grasos. Esto explicaría que el AO, rico en AGMI, sea más resistente a la oxidación que el AG, rico en AGPI, como lo indican los Índices de peróxido y de anisidina obtenidos en este trabajo. En concordancia con estos resultados, Abilés y col. (26) concluyen que el consumo de aceites y grasas sometidos a sucesivos calentamientos, influye en la peroxidación lipídica plasmática y es mayor cuanto mayor es el número de recalentamientos aplicados.

Haciendo referencia a la formación de AGT, Abdulkarim y col. (27) informaron que el aceite de oliva mezcla es más resistente a la formación de AGT que el aceite virgen. En un estudio realizado por Ali y col. (28), la cantidad de AGT en el aceite de girasol refinado fue mayor que en el aceite de girasol alto oleico. En ambos estudios, los tiempos de exposición al calor de los aceites fueron mucho más prolongados que en el presente, pudiendo explicar que no se detectaran en estos ensayos.

En relación a las modificaciones observadas en el perfil de ácidos grasos, Ancín- Azpilicueta y Martínez-Remirez (29) hallaron que el porcentaje de ácido linoleico disminuía y el del ácido oleico prácticamente no sufría alteraciones en ensayos de calentamiento de aceite de oliva. Otros estudios sobre el deterioro de aceite de girasol, también señalaron un aumento de los AGS y una pérdida de los AGPI, luego de 20 horas de calentamiento, con una reducción de 58,1 g/100 g a 45,4 g/100 g para el ácido linoleico, cuando el calentamiento se prolonga por 50 horas (30). Esto confirma que los aceites en los que predominan los AGI presentan desventajas desde el punto de vista de su estabilidad al ser calentados. En ensayos sobre stress térmico de aceites, Berdeaux concluyó que el ácido graso que más disminuía era el linoleico, mientras que el oleico era el que menos se modificaba (31).

Se concluye que, en los aceites reutilizados a nivel hogareño en condiciones de fritura controlada, sus parámetros de calidad se modificaron a partir del primer ciclo de fritura. Si bien en este trabajo no se identificaron los aldehídos u otros compuestos nocivos para la salud, los cambios manifestados indican la necesidad de revisar las prácticas de fritura doméstica a modo de prevención. Considerando que el consumidor carece de herramientas sencillas para percibir el deterioro, como podrían ser sus sentidos, es probable que tecnólogos, médicos y nutricionistas deban trabajar en la educación para las buenas prácticas de cocción hogareña.

PÁGINA 7 | |

PÁGINA 8 | |

Referencias Bibliográficas:

1. Franco D. Aceites para frituras. Revista Alimentaria Argentina. 2012; (53): 23. Disponible en: http://www.alimentosargentinos.gov.ar/contenido/revista/ediciones/53/productosr53_06_Aceites.pdf.

2. Garda MR. Técnicas del manejo de los alimentos. Capítulo 12: Grasas y Aceites. 2da Edición. Buenos Aires. Eudeba, 2003. Pág.139-150.

3. Hurtado A. La fritura de los alimentos: pérdida y ganancia de nutrientes en alimentos fritos. Persp. Nutri. Hum. 2008; 10(1): 77-88.

4. Nasi M. Análisis de grasas y vitaminas C en papas congeladas fritas en diferentes aceites. Diaeta 2012; 30(139): 28-34.

5. Grootveld M, Ruiz-Rodado V, Silwood C. Detección, monitoreo y efectos perjudiciales para la salud de los productos de oxidación lipídica (LOPs) generados en los aceites comestibles durante episodios de estrés térmico. Grasas y Aceites 2015; 100(3): 444 - 462.

6. Peterson G, Aguilar D, Espeche M, y col. Ácidos grasos trans en los alimentos consumidos habitualmente por los jóvenes de Argentina. Arch. Argent. Pediatr. 2004; 102(2): 8.

7. Guillen MD, Goicoechea E. Toxic oxygenated a b unsaturated aldehydes and their study in foods: a review. Crit. Rev. Food Sci. Nutr. 2008; 48: 119-136.

8. Valenzuela A. Isomeric trans fatty acids. Origin and effects in human health. Rev. Chil. Nutr. 2008. 35(3): 162-171.

9. Nieto S, Peterson G, Sanhueza J, Tavella M, Valenzuela A. Estudio comparativo, en fritura, de la estabilidad de diferentes aceites vegetales. Aceites y Grasas 2003; 53, XIII(4): 568-573.

10. Lemas S, Longo L, Lopresti L. Guías Alimentarias para la Población Argentina. 1ª. Ed. 1ª reimp. Buenos Aires. Asociación Argentina de Dietistas y Nutricionistas Dietistas, 2003. P 12: 30-31.

11. CAA. Código Alimentario Argentino. Ley 18282. Cap. VII, Art. 528 y 535. Disponible en: http://www.anmat.gov.ar/alimentos /normativas_alimentos_caa.asp.

12. Norma IRAM 5512. Aceites vegetales, grasas y oleínas. Método para la determinación de acidez. Buenos Aires. Instituto Argentino de Normalización y Certificación. 1988.

13. Norma IRAM 5551. Aceites vegetales, grasas y oleínas. Determinación del índice de peróxido. Buenos Aires. Instituto Argentino de Normalización y Certificación. 1980.

14. AOCS Official Method Cd 18-90. p-Anisidina Value. Official Methods and Recommended Practices of the AOCS, 6th Edition, 3rd printing. Illinois, USA. The American Oils Chemists Society. 1995.

15. Norma ISO 15304. Animal, vegetables fats and oils. Determination of the content of trans fatty acid isomers of vegetable fats and oils. Chromatographic method. Londres, Reino Unido. International Organization for Standardization. 2002.

16. Norma IRAM 20008. Análisis Sensorial. Metodología. Ensayo Triangular. Buenos Aires. Instituto Argentino de Normalización y Certificación. 2012.

17. Norma ISO 8586. Sensory Analysis. General guidelines for selection, training and monitoring of selected assessors and expert assessors. Londres, Reino Unido. International Organization for Standardization. 2002.

18. Norma IRAM 20003. Análisis Sensorial. Guía general para la instalación de locales de ensayo. Buenos Aires. Instituto Argentino de Normalización y Certificación. 2012.

19. Medin R, Medin S. Alimentos: Introducción, Técnica y Seguridad. Capítulo 5: Grasas y Aceites. 1ra Edición. Buenos Aires. Mario Banchik, 2002. 97-119.

20. Lencina MS, Gómez MB, Costa ER, Abalos AR, Frigola A, Estevés MJ. Análisis de grasas y vitamina C en papas congeladas fritas en diferentes aceites. Diaeta 2012; 30(139): 114-120.

21. Summo C, Caponio F, Paradiso VM, et al. Oxidation compounds in extra virgin olive oils, fresh or stored, after frying. Ital. J. Food Sci. 2014; 26(2): 176-182.

22. Ngadi M, Li L, Oluka S. Quality changes in chicken nuggets fried in oils with different degrees of hydrogenation. Food Sci Tech. 2007; 40: 1784-1789.

23. Marcano J, La Rosa Y, Salinas N. Influencia del proceso de fritura en profundidad sobre el perfil lipídico de la grasa contenida en patatas tipo “french”, empleando oleina de palma. Grasas y Aceites 2010; 61(1): 24-29.

24. Rivera Y, Gutiérrez C, Gómez R, Matute M, Izaguirre C. Cuantificación del deterioro de aceites vegetales usados en procesos de frituras en establecimientos ubicados en el Municipio Libertador del Estado Mérida. Ciencia e Ingeniería 2014; 35(3): 157-164.

25. Valenzuela B. Ácidos grasos con isomería trans II. Situación de consumo en Latinoamérica y alternativas para su sustitución. Rev. Chi. Nutr. 2008; 35(3): 105-109.

26. Abilés J, Ramón AN, Moratalla G, Pérez-Abud R, Morón-Jiménez J, Ayala A. Efectos del consumo de aceites termo- oxidados sobre la peroxidación lipídica en animales de laboratorio. Nutr Hosp. 2009; 24(4): 473-478.

27. Abdulkarim SM, Long K, Lai OM, et al. Frying quality and stability of high-oleic Moringa oleifera seed oil in comparison with other vegetable oils. Food Chem. 2007; 105: 1382-9.

28. Ali M, Najmaldien H, Latip R, Othman N, Majid F, Salleh L. Efectos del calentamiento y la temperatura de fritura sobre las características del aceite de girasol y el aceite de girasol alto oleico. Acta Sci. Pol. Technol. Aliment. 2013; 12(2): 159-167.

29. Ancin-Azpilicueta MC, Martínez-Remírez MT. Estudio de la degradación de los aceites de oliva sometidos a fritura. I. Determinación estadística del parámetro que mejor cuantifica esta degradación. Grasas y Aceites 1991; 42(1): 22-31.

30. Zamorano M, Martínez S, Medel J. Comportamiento del perfil de ácidos grasos de aceites y materias grasas hidrogenadas sometidos a calentamiento prolongado. Rev. Fac. Cienc. Agrar. 2013; 45(1): 32-38.

31. Berdeaux O, Marmesat S, Velasco J, Dobarganes MC. Apparent and quantitative loss of fatty acids and triacylglycerols at frying temperatures. Grasas y Aceites 2012; 6 (3): 284- 289.

PÁGINA 8 | |

Diaeta (B.Aires) ;39 (177). ISSN 0328-1310